LLC谐振转换器
谐振转换器的优点
LLC谐振转换器的出色优点有:
a) 在整个负载范围(包括轻载)下都是以ZVS (zero voltage switching, 零电压开关)条件工作,从而实现高效率;
b) 工作频率变化范围比较窄,便于高频变压器和输入滤波器的设计;
c)初级端所用开关的电压应力被钳位在输入电压上,而次级端两个二极管上的电压始终等于中心抽头变压器输出电压的两倍。
谐振转换器的工作原理

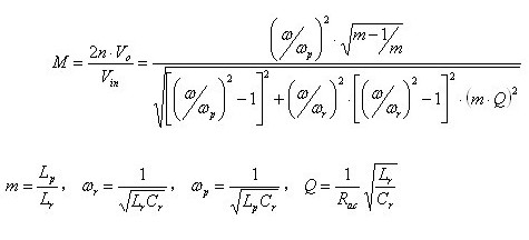
图1所示为LLC谐振转换器的基本电路。LLC谐振转换器一般包含一个带MOSFET的控制器、一个谐振网络和一个整流器网络。控制器以50%的占空比交替为两个MOSFET提供门信号,随负载变化而改变工作频率,调节输出电压Vout,这称为脉冲频率调制(PFM)。谐振网络包括两个谐振电感和一个谐振电容(L-L-C)。谐振电感 Lr、Lm 与谐振电容Cr 主要作为一个分压器,其阻抗随工作频率而变化(如式1所示),以获得所需的输出电压。在实际设计中,谐振网络可由一个采用如图2所示分段骨架(sectional bobbin)的集成式变压器的磁化电感Lm 与漏感Llk 构成。而整流器网络对谐振网络产生的正弦波形进行整流,然后传输到输出级。

式2给出了采用如图2所示的实际变压器时,LLC谐振转换器的电压转换比。在式2中可观察到两个谐振频率。一个由Lp 和 Cr 决定,记为ωp,另一个由Lr 和 Cr决定,记为ωr。利用这个公式,可获得LLC谐振转换器随频率和负载变化的增益特性曲线,见图3所示
如图3所示,每条曲线上以符号‘+’标注的最高值被称为‘峰值增益’,位于两个谐振频率ωp 和 ωr 之间。当输出负载越来越大时,峰值增益值逐渐减小,其位置向更高频率移动。同时,以符号‘×’标注的ωr时的谐振增益却是固定的,不随输出负载的变化而变化。增益曲线说明在 ZVS状态下,随着谐振网络的工作频率增加,增益减小,输出电压降低。

谐振转换器的工作区域

如图3所示,LLC谐振转换器的工作区域可标注为‘+’的峰值增益和标注为‘×’的谐振频率而分为3部分。首先,以峰值点为界,左边是ZCS(零电流开关)区(或称为电容区),右边是ZVS(零电压开关)区(或称为电感区)。在ZVS区,谐振频率ωr的左边是下区(below region),右边是上区域(above region)。当LLC谐振转换器工作在ZCS区时,在开关瞬间有大量反向恢复电流流经MOSFET,故LLC谐振转换器应该工作在ZVS区,要充分利用最小工作频率的限制不让带MOSFET 的LLC谐振转换器进入ZCS区。
如上所述,根据工作频率是大于ωr还是小于ω,LLC谐振转换器可以工作在上区域或下区域。这还取决于两种工作模式彼此间的不同特性。当LLC谐振转换器被设计为上区域工作时,流到MOSFET的环流小于下谐振工作的,MOSFET的传导损耗因此减小,从而提高效率。不过,这时次级端上的二极管为硬开关,故必须采用肖特基或UF(超快速恢复)二极管来防止严重的反向恢复电流。鉴于此,象便携式设备LCD的电源这样的低压应用有时会考虑采用上谐振工作。另一方面,在下谐振工作的情况下,流到MOSFET的环流比上谐振工作的要大。不过下谐振工作允许次级端上的二极管进行软导通/关断,这样就可以采用普通的快速恢复二极管。下谐振工作是LED或PDP TV等高压应用的首选。这些应用中,输出电压稍高,因而不能使用低额定电压的肖特基二极管。
因此,必须根据应用的规格和特性来选择LLC谐振转换器的工作区域。
