射极跟随器
射极跟随器的原理
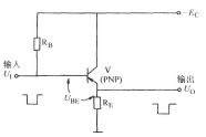
射极跟随器的原理图如图所示。 它是一个电压串联负反馈放大电路。从晶体管的连接方法而言,它实际上是共集电极放大器。图中Rb是偏置电阻,C1、Cl是耦合电容。信号从基极输入,从发射极输出。晶体管发射极接的电阻Re,在电路中具有重要作用,它好象一面镜子,反映了输出、输入的跟随特性。
输入电压usr=ube+usc。通常Usc>Ube,忽略Ube不计,则usr≈usc。显然,这就意味着射极限随器的电压放大倍数近似等于1,即:输入电压幅度与输出电压幅度近似相等。当Usr增加时,ib、ie都增加,发射极电压ue(usc)也就增加。反之,Usr减小时Usc也减小。这说明输出电压与输入电压同相,正是因为不仅输出电压与输入电压大小相等,而且相位也相同。输出电压紧紧跟随输人电压而变化,我们把这种具有跟随特性的电路称为“射极限随器”。
射极跟随器以很小的输人电流却可以得到很大的输出电流(ie=(1+β)ib)。因此具有电流放大及功率放大作用。需要区别的是普通的多级共射级放大电路,是不放大电流放大电压,这点跟射随是相反的。在电视电路中,中放解出TV的视频图像后用射极电路来输出,保证输出图像的变化随输入而改变,需主意的是一般幅度要达到1.2V左右,需通过调节RB和RE的比例调节输出交流波形的幅度。

射极跟随器的特点
1、具有输入电阻高,输出电阻低
2、电压放大倍数接近于1
3、输出电压能够在较大范围内跟随输入电压作线性变化以及输入、输出信号同相。
射极跟随器的优点
射极跟随器虽然没有电压放大能力,但由于电路深度负反馈的作用,具有工作稳定、频响宽、输入电阻大和输出电阻小等突出优点。
射极限随器的输入电阻比一般共发射极电路的输入电阻大很多。根据理论分析,它的输入电阻rsr≈βRe。如果晶休管的β=100,Re=1千欧,则输入电阻入,rsr≈l00千欧。输入电阻大,消耗信号源的电流就小。在多级放大器中,射极限随器对信号源或前级只是很轻的负载。同时,射极限随器的输出电阻是很小的,根据理论分析,rsr≈rbe/β(式中的rbe.是晶休管的输入电阻)。一般射极限随器的输出电阻在几十到几百欧之内,比共发射极电路小得多。输出电阻小,带负栽的能力就强,可以带阻抗比较小的负载。
利用射极限随器输入电阻大、输出电阻小的特点,还可以进行阻抗匹配。多级放大器中有时在两级之间加入一级射极限随器,使它的高输入阻抗与前级的高输出阻抗匹配;低输出阻抗与后级的低输入阻抗相匹配,起到缓冲作用,减少了前后级之间的影响。
由于射极跟随器的负反馈作用,输出电压随频串的变化也减小到最小程度,相对改善了放大器的频串响应。
射极跟随器的作用
(1) 有电流放大,无电压放大作用;
(2) 输入电压极性和输出电压极性相位 ;
(3) 输入电阻大而输出电阻小。 输入电阻大可使流过信号源电流小; 输出电阻小,即带负载能力大。 常用于放大电流的输入级和输出级。
射极跟随器的参数
1、输入电阻Ri
Ri=rbe+(1+β)RE
如考虑偏置电阻RB和负载RL的影响,则
Ri=RB∥[rbe+(1+β)(RE∥RL)]
由上式可知射极跟随器的输入电阻Ri比共射极单管放大器的输入电阻Ri=RB∥rbe要高得多,但由于偏置电阻RB的分流作用,输入电阻难以进一步提高。
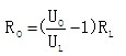
2、输出电阻RO
如考虑信号源内阻RS,则由上式可知射极跟随器的输出电阻R0比共射极单管放大器的输出电阻RO≈RC低得多。三极管的β愈高,输出电阻愈小。
输出电阻RO的测试方法亦同单管放大器,即先测出空载输出电压UO,再测接入负载RL后的输出电压UL,根据

即可求出

3、电压放大倍数

上式说明射极跟随器的电压放大倍数小于近于1,且为正值。 这是深度电压负反馈的结果。但它的射极电流仍比基流大(1+β)倍, 所以它具有一定的电流和功率放大作用。
4、电压跟随范围
电压跟随范围是指射极跟随器输出电压uO跟随输入电压ui作线性变化的区域。当ui超过一定范围时,uO便不能跟随ui作线性变化,即uO波形产生了失真。为了使输出电压uO正、负半周对称,并充分利用电压跟随范围,静态工作点应选在交流负载线中点,测量时可直接用示波器读取uO的峰峰值,即电压跟随范围;或用交流毫伏表读取uO的有效值,则电压跟随范围

